Stammfunktion – Definition
Eine Stammfunktion ist vereinfacht gesagt eine differenzierbare Funktion, die abgeleitet immer die gleiche Funktion als Ergebnis hervorbringt. Dieser Prozess wird in der Mathematik als Integrieren bezeichnet.
Die Funktion F(x) ist eine Stammfunktion von f(x), wenn gilt: F’(x)=f(x).
In der Definition ist dir sicherlich aufgefallen, dass jetzt noch die Differentialrechnung Einfluss nimmt, denn F(x) wurde abgeleitet. Das liegt daran, dass das Integrieren das Gegenteil vom Differenzieren ist. Umgangssprachlich wird auch vom Aufleiten (Integrieren) bzw. Ableiten (Differenzieren) geredet.
Zur Wiederholung: Eine Funktion f(x) ist differenzierbar, wenn im Definitionsbereich für jede Stelle x eine Ableitung existiert.
Aus der Differentialrechnung weißt du, dass beim Ableiten die Konstante am Ende wegfällt. Wir betrachten dazu als Beispiel die folgenden Stammfunktionen.

Wenn du diese Stammfunktionen nun ableitest, dann erhältst du:

Nun haben wir gezeigt, dass die Ableitung beider Funktionen die Gleiche ist. Was sagt uns dieses Beispiel? Wir haben zwei unterschiedliche Funktionen abgleitet, kommen aber auf dasselbe Ergebnis. Daraus können wir schließen, dass es zu einer Funktion mehrere Stammfunktionen gibt und sie somit nicht eindeutig ist.
Zwei Stammfunktionen F(x) und G(x) zur selben Funktion f(x) unterscheiden sich nur am Ende durch eine Konstante C, welche addiert wird.
Also gilt:

Hinweis: Die Konstante C ist ein Element der reellen Zahlen
. Falls du nicht mehr genau weißt, was es mit diesen Begriffen auf sich hat, so lies einfach im Kapitel Zahlenmengen noch einmal nach.
Diese Definition lässt sich sehr gut visualisieren. Nachfolgend ist die Ausgangsfunktion f(x) = x hellblau und eine Auswahl an Stammfunktionen
orange dargestellt. Wie du in der Grafik erkennen kannst, unterscheiden sie sich nur anhand ihres y-Achsenabschnitts durch die Konstante C.

Abbildung: Die Funktion f(x) mit einer Auswahl ihrer Stammfunktionen
Diese Beobachtung, dass es unendlich viele Stammfunktionen zu einer Funktion f(x) gibt, ist die Grundlage des Artikels des unbestimmten Integrals. Falls du dazu mehr erfahren möchtest, dann schau' am besten dort vorbei.
Die Stammfunktion findet in der Mathematik sehr viel Anwendung. Durch die Stammfunktion kann die Fläche unterhalb des Funktionsgraphen berechnet werden, die Bestandsfunktion erstellt werden und noch vieles mehr. Da wir uns in diesem Artikel auf die Bildung der Stammfunktion konzentrieren wollen, empfehle ich dir, die Artikel zur Integralfunktion und Hauptsatz der Differential- und Integralrechnung zu lesen!
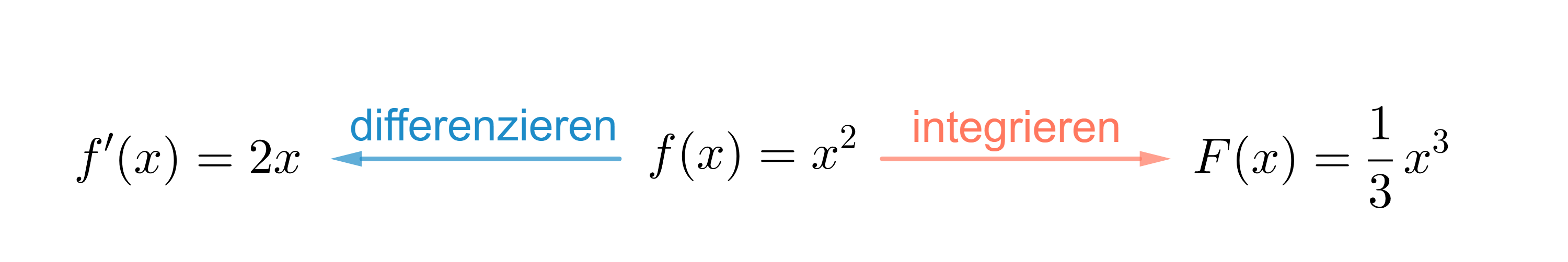
Die Stammfunktion zu bilden ist also das passende Gegenstück zum Differenzieren, dem Ableiten. Nachfolgend eine Abbildung, die das veranschaulichen soll.

Abbildung: Übersicht Differenzieren und IntegrierenWann existiert überhaupt eine Stammfunktion?
Nachdem du dir angeschaut hast, was eine Stammfunktion überhaupt ist, sollte geklärt werden, wann diese überhaupt existiert. Jede stetige Funktion f(x) auf einem abgeschlossenen Intervall besitzt eine Stammfunktion. Diese Bedingung tritt auch im ersten Teil des Hauptsatzes der Differential- und Integralrechnung auf.
In dem Kapitel Hauptsatz der Differential- und Integralrechnung findest du genau dazu auch Übungsaufgaben!
Im Kapitel des Hauptsatzes der Differential- und Integralrechnung wird dir ausführlich die Bedeutung von Stammfunktionen erklärt. Diese werden gebraucht, um die Fläche unterhalb eines Funktionsgraphen in einem abgeschlossenen Intervall zu berechnen. Dann spricht man auch von dem bestimmten Integral. Näheres findest du im Artikel zum bestimmten Integral!
Falls keine Intervallgrenzen gegeben sind bzw. von der Gesamtheit aller Stammfunktionen die Rede ist, dann spricht man auch vom unbestimmten Integral. Auch dafür haben wir einen Artikel für dich bereitgestellt.
Stammfunktion bilden – Integral berechnen
Intuitiv kannst du dir das Integrieren am folgenden Beispiel anschauen und selbst verdeutlichen.
Aufgabe 1
Stelle dir vor du hast die folgende Funktion gegeben und sollst eine entsprechende Stammfunktion finden.

Lösung 1
Nun überlege einmal, welche Funktion du ableiten müsstest, sodass nur die 1 übrig bleibt. Falls es dir nicht direkt einfällt, dann ist das auch nicht schlimm. Die gesuchte Funktion lautet:
Beim Ableiten wurde der Exponent um eins vermindert, aber beim Integrieren wird der Exponent um eins erhöht, da wir genau das Gegenteil tun. Also wird aus einer 1 ein x.
Nun können wir unsere Bedingung von oben in der Definition prüfen:

,was zu zeigen war.
Super! Du hast soeben deine erste Funktion integriert, war doch gar nicht so schwer, oder? Schau dir noch das nächste Beispiel an.
Aufgabe 2
Die Aufgabe bleibt die Gleiche: Bilde eine Stammfunktion von f(x)!

Lösung 2
Du suchst nun eine Funktion, die abgeleitet 2x ergibt. Die gesuchte Funktion lautet:

Wieder überprüfen wir diese Aussage mit der Bedingung aus unserer Definition:

,was zu zeigen war.
Glückwunsch! Du hast binnen kurzer Zeit schon zwei Funktionen integriert.
Im Prinzip bildest du die Stammfunktion, indem du alles umkehrst, was du sonst beim Ableiten tun würdest. Keine Sorge, du musst die Aufgaben nicht alle intuitiv lösen können, denn hierfür gibt es Regeln, an die du dich halten kannst.
Wichtige Stammfunktionen aufleiten – Beispiele
Mit wichtigen Stammfunktionen sind nicht solche gemeint, die du fast nie brauchst und die Spezialfälle darstellen, sondern die üblichsten Stammfunktionen. Das sind unter anderem ganzrationale Funktionen, Wurzelfunktionen und ähnliche.
Regeln zum Bilden der Stammfunktion
Des Weiteren gibt es Regeln an die du dich beim Bilden der Stammfunktionen halten kannst. Diese findest du im Abschnitt Integrationsregeln. Davor solltest du aber unbedingt den Artikel zum unbestimmten Integral lesen!
Stammfunktion bilden - Das Wichtigste auf einen Blick
- Wenn du die Stammfunktion einer Funktion bilden möchtest, musst du integrieren. Also aufleiten und dabei die Integrationsregeln beachten.
- Es gibt unendlich viele Stammfunktionen zu einer Funktion, die sich in der Konstante C unterscheiden.
- Allgemeine Stammfunktion: G(x) = F(x) + C